联合杠杆系数:经营与财务杠杆系数乘积及相关规则解析
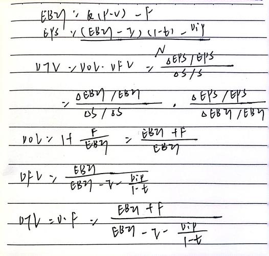
联合杠杆系数=经营杠杆系数×财务杠杆系数。联合杠杆系数是反映营业收入的变化对每股收益的影响程度经营杠杆系数为1说明,是衡量公司每股获利能力的尺度。它在数值上等于财务杠杆系数和经营杠杆系数的乘积,即DTL(联合)=DOL(经营)×DFL(财务)
拓展资料
一、经营杠杆系数演化规则
1.在固定成本不变的情况下,经营杠杆系数说明了销售额增长(或减少)所引起的营业利润增长(或减少)的幅度;

2.在固定成本不变的情况下,销售额越大,经营杠杆系数越小,经营风险也就越小;反之,销售额越小,经营杠杆系数越大,经营风险也就越大。
3.在销售额处于盈亏临界点前的阶段,经营杠杆系数随销售额的增加而递增:在销售额处于盈亏临界点后的阶段,经营杠杆系数随销售额的增加而递减:当销售额达到盈亏临界点时,经营杠杆系数趋近于无穷大,此时经营风险趋近于无穷大;
4.在销售收入一定的情况下,影响经营杠杆的因素主要是固定成本和变动成本的金额。固定成本或变动成本加大都会引起经营杠杆系数增加。这些研究结果说明,在固定成本一定的情况下,公司应采取多种方式增加销售额,这样利润就会以经营杠杆系数的倍数增加,从而赢得“正杠杆利益”。否则,一旦销售额减少时,利润会下降的更快联合杠杆系数:经营与财务杠杆系数乘积及相关规则解析,形成“负杠杆利益”。
二、经营杠杆系数影响因素
影响营业杠杆系数大小的因素除了固定成本和营业总额(产销量)以外,还有其他许多因素,主要有以下几点:①产品供求的变动。产品供求关系变动,使产品售价和变动成本都可能发生变动,从而对营业杠杆系数产生影响。②产品售价的变动。在其他因素不变的条件下,产品售价的变动将会影响营业杠杆系数。当其他条件不变,产品售价上升,营业杠杆系数会下降,因此,企业可以通过提高产品售价来降低营业风险。③单位产品变动成本的变动。在其他因素不变的条件下,单位产品变动成本额或变动成本率的变动亦会影响营业杠杆系数。当其他条件不变,单位产品变动成本额或变动成本率下降,营业杠杆系数也会下降,因此,企业可以通过降低单位产品变动成本或变动成本来降低营业风险。④固定成本总额的变动。在一定的产销规模内,固定成本总额相对保持不变。如果产销规模超过一定限度,固定成本总额也会发生一定的变动。



